Paper News
近日,工程海洋领域1区TOP期刊 Ocean Engineering在线发表了安徽建筑大学土木工程学院、安徽省智能地下探测技术研究院蔡国军教授团队的最新科研成果“Effects of the skirt length and embedment depth on the capacity of a skirted spudcan foundation under combined loading”(图 1)。该论文第一作者为我院2021年新引进教师殷帅博士,通讯作者为我校蔡国军教授和重庆大学易江涛教授。该项研究工作分别得到了国家杰出青年科学基金项目(42225206),国家自然科学基金项目(41877231,42072299),安徽省高校自然科学研究项目(2022AH050234),安徽省绿色矿山工程研发中心开放基金(KCY-KFJJ-4)和安徽省博士启动基金项目(2022QDZ28)的支持。
论文共享链接:https://authors.elsevier.com/c/1h0Ec6nh74lPt

论文简介(Introduction)
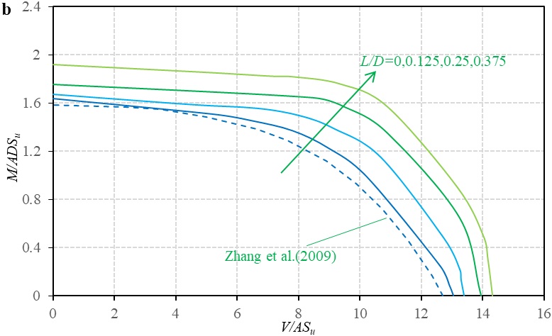
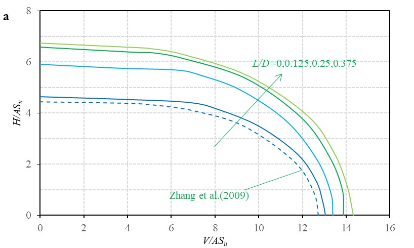
在近海岸油气开采工业中,裙边桩靴基础作为传统桩靴基础的改进形式,可以提供相对较高的承载力和稳固性,以抵抗近海岸恶劣环境所产生的复杂垂直、水平和力矩联合载荷。裙边桩靴基础潜在的承载力等优势有利于移动自升式钻井平台向深水区的延伸。论文采用有限元分析法进行研究,分析了裙边长度和嵌入深度对软粘土中裙边桩靴基础在联合载荷条件下承载力的影响。结果表明,裙边长度和嵌入深度都能显著影响裙边桩靴承载行为,并明显改善联合荷载下的承载力。随着裙边长度和嵌入深度的增加,破坏包络的大小逐渐扩大,其形状也相应发生变化(图 2);当采用0.25D长度裙边、嵌入到大约2D的软粘土中时可以获得最佳的实际应用效果;通过数据拟合获得了代数表达式来解释和预测有裙边的裙边桩靴基础的承载力行为。该项成果将对裙边桩靴基础的设计和实际应用提供初步参考和指导。
第一作者简介(First Author)
殷 帅 安徽广德人 2021年博士毕业于重庆大学 现就职于安徽建筑大学土木工程学院,讲师,硕士生导师 主要研究方向:海洋岩土及其智能测试、岩土力学数值模拟 邮箱:cys_2019@126.com 手机/微信:15955375731 |  |